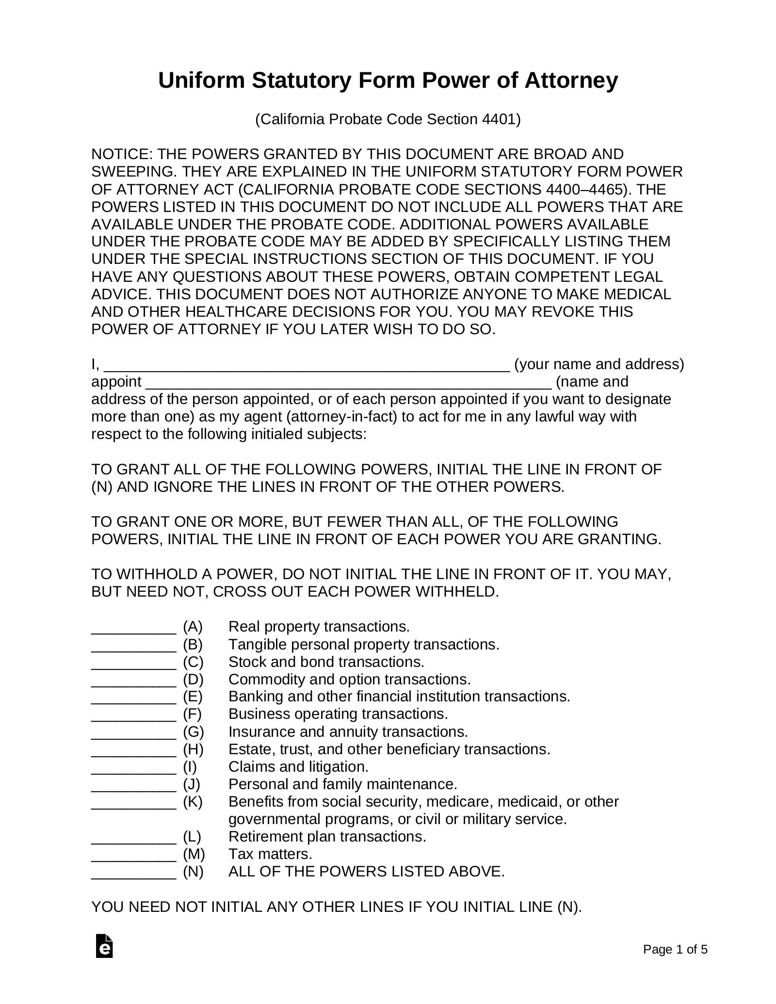
When it comes to legal matters, having a Power of Attorney in place is essential. This document allows you to appoint someone to make decisions on your behalf in case you become incapacitated or unable to make decisions for yourself. In California, having a Power of Attorney can help ensure that your affairs are taken care of by someone you trust.
However, obtaining a Power of Attorney form can be costly and time-consuming. That’s why having access to a free printable form can be incredibly beneficial. With a free printable Power of Attorney form for California, you can easily customize the document to fit your specific needs and preferences.
Free Printable Power Of Attorney Form California
Searching for a fast and reliable way to process paperwork? A Printable Form is the right choice! Whether you’re managing business records, school documents, or home paperwork, Free Printable Power Of Attorney Form Californiathese forms help you maintain order without relying on digital tools.
Organize Your Processes with a Printable Form – Quick, User-Friendly, and Free
From resume cover sheets to financial logs and health forms, you can find free printable form on the web for almost any need. Just download, print, and fill them out on paper—no required programs required.
Having a free printable Power of Attorney form for California can give you peace of mind knowing that your affairs will be handled according to your wishes. Whether you need someone to make medical decisions on your behalf or manage your financial affairs, having a Power of Attorney in place can be a lifesaver.
With a free printable form, you can easily designate a trusted individual to act as your agent and make important decisions on your behalf. This can be especially helpful in situations where you are unable to communicate your wishes or make decisions for yourself.
By having a free printable Power of Attorney form for California, you can take control of your future and ensure that your affairs are in order. Whether you need a general Power of Attorney or a specific one for healthcare or finances, having a form readily available can make the process much easier and more convenient.
Don’t wait until it’s too late to designate someone to make decisions on your behalf. With a free printable Power of Attorney form for California, you can take the necessary steps to protect yourself and your assets. Make sure to consult with a legal professional to ensure that the form meets all legal requirements and is properly executed.