When it comes to legal matters, having a power of attorney in place can provide peace of mind for both parties involved. A power of attorney is a legal document that allows one person to make decisions on behalf of another, typically in the event of incapacity or inability to make decisions on their own. This document can be crucial in ensuring that someone you trust is able to manage your affairs and make important decisions when you are unable to do so.
One convenient option for obtaining a power of attorney form is through a PDF printable version. This allows you to easily access and fill out the necessary information from the comfort of your own home. Whether you need a power of attorney for financial matters, healthcare decisions, or both, having a printable form can simplify the process and ensure that your wishes are legally documented.
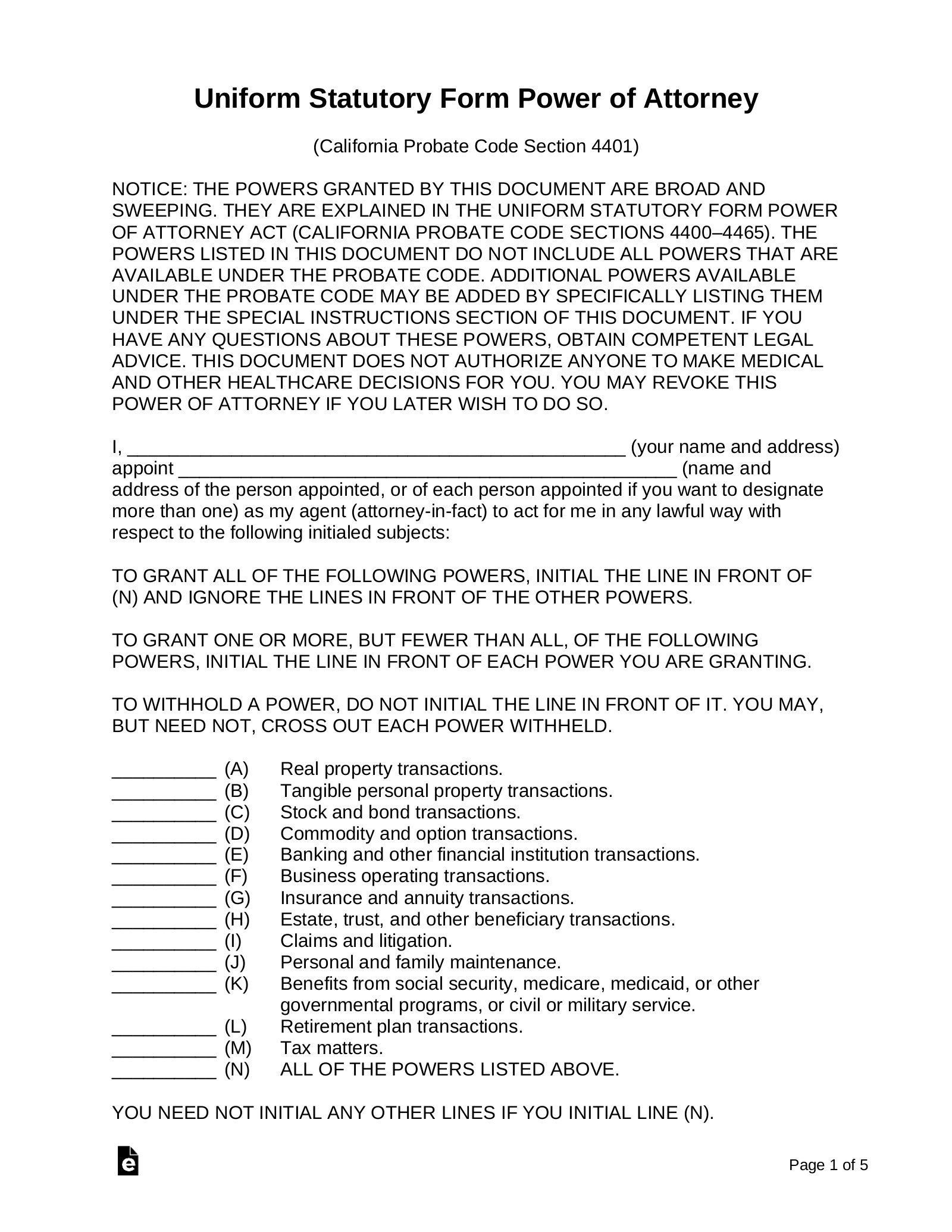
Pdf Printable Power Of Attorney Form
Looking for a reliable and efficient way to handle paperwork? A Form Printable is the perfect solution! Whether you’re managing company documents, student files, or home paperwork, Printable Form help you get things done without relying on software.
Streamline Your Workload with a Form Printable – Quick, Easy, and 100% Free
From employment forms to budget sheets and health forms, you can find no-cost Pdf Printable Power Of Attorney Form on the web for almost any situation. Just access, output, and fill them out on paper—no special software required.
When filling out a PDF printable power of attorney form, it is important to carefully review and understand the terms and conditions outlined in the document. Be sure to provide accurate and up-to-date information, as any errors or omissions could impact the validity of the form. Once the form is completed, it is recommended to have it notarized to further validate its authenticity.
Having a power of attorney in place can provide peace of mind for both the individual granting the power and the designated agent. By establishing a legal document that outlines the responsibilities and limitations of the agent, you can ensure that your affairs will be managed according to your wishes in the event of incapacity or inability to make decisions.
Overall, a PDF printable power of attorney form can be a convenient and efficient way to establish this important legal document. By taking the time to carefully review and complete the form, you can ensure that your wishes will be honored and your affairs will be managed responsibly. Whether you are planning for the future or facing a sudden need for a power of attorney, having this document in place can provide valuable protection and security.
In conclusion, a PDF printable power of attorney form is a valuable tool for ensuring that your affairs are managed according to your wishes. By carefully completing and notarizing this document, you can provide peace of mind for yourself and your designated agent. Take the time to establish a power of attorney today to protect your interests and safeguard your future.