Skip to content

Printable Last Will And Testament Forms

  • by

Creating a last will and testament is an important step in ensuring that your final wishes are carried out after your passing. A last will and testament document allows you to specify how you want your assets to be distributed, who will be responsible for carrying out your wishes, and any other important decisions related to your estate.

While it is recommended to consult with a legal professional when creating your will, there are also printable last will and testament forms available online that can help you get started. These forms provide a template for you to fill in your personal information and preferences, making the process easier and more accessible.

Blank Printable Simple Last Will And Testament Forms Printable Forms Printable Last Will And Testament Forms

Looking for a fast and effective way to process paperwork? A Printable Last Will And Testament Forms is the ideal answer! Whether you’re managing office files, student files, or private records, Printable Last Will And Testament Formsthese forms help you stay organized without relying on digital tools.

Streamline Your Tasks with a Printable Form – Quick, Simple, and No-Cost

From resume cover sheets to expense reports and patient files, you can find free printable form on the web for almost any situation. Just access, output, and fill them out by hand—no required programs required.

When using printable last will and testament forms, it is important to carefully review and customize the document to fit your specific needs. You may need to consider factors such as naming beneficiaries, appointing an executor, and outlining any specific bequests or instructions for your estate.

Additionally, it is essential to ensure that your will complies with the legal requirements of your state or jurisdiction. Each state has its own laws governing wills and estates, so it is crucial to familiarize yourself with the relevant regulations to avoid any potential challenges or disputes in the future.

By utilizing printable last will and testament forms, you can take a proactive step towards planning for the future and protecting your loved ones. These forms provide a convenient and cost-effective option for individuals who may not have the resources to consult with a lawyer or estate planning professional.

Remember, creating a last will and testament is a valuable way to express your final wishes and ensure that your estate is handled according to your desires. By using printable forms as a starting point, you can begin the process of creating a comprehensive and legally binding document that reflects your intentions.

Take the time to carefully consider your options and seek guidance if needed to create a last will and testament that accurately reflects your wishes and provides peace of mind for you and your loved ones.


Get and Print Printable Last Will And Testament Forms

Printable Last Will And Testament Forms are especially useful for corporate settings, teachers, and individuals who prefer physical forms. They’re also ideal for scenarios where offline work is required or when handwritten confirmation are needed.

With regularly updated templates available in DOC or PDF format, Printable Last Will And Testament Forms are both adaptable and user-friendly. Don’t start from zero creating documents from scratch—search for the right printables form today and handle paperwork with ease!

Free Printable Blank Last Will Testament Forms Printable Forms Free Free Printable Blank Last Will Testament Forms Printable Forms Free

Free Printable Blank Last Will Testament Forms Printable Forms Free Free Printable Blank Last Will Testament Forms Printable Forms Free

Free Printable Last Will And Testament Forms Printable Forms Free OnlineFree Printable Last Will And Testament Forms Printable Forms Free Online

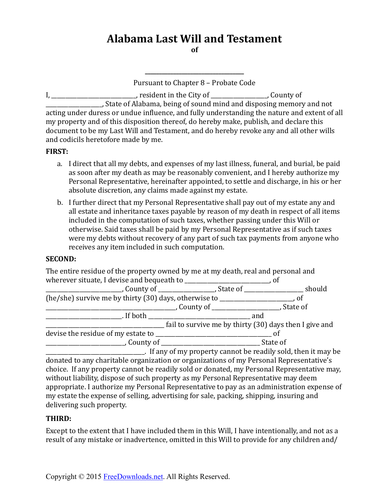
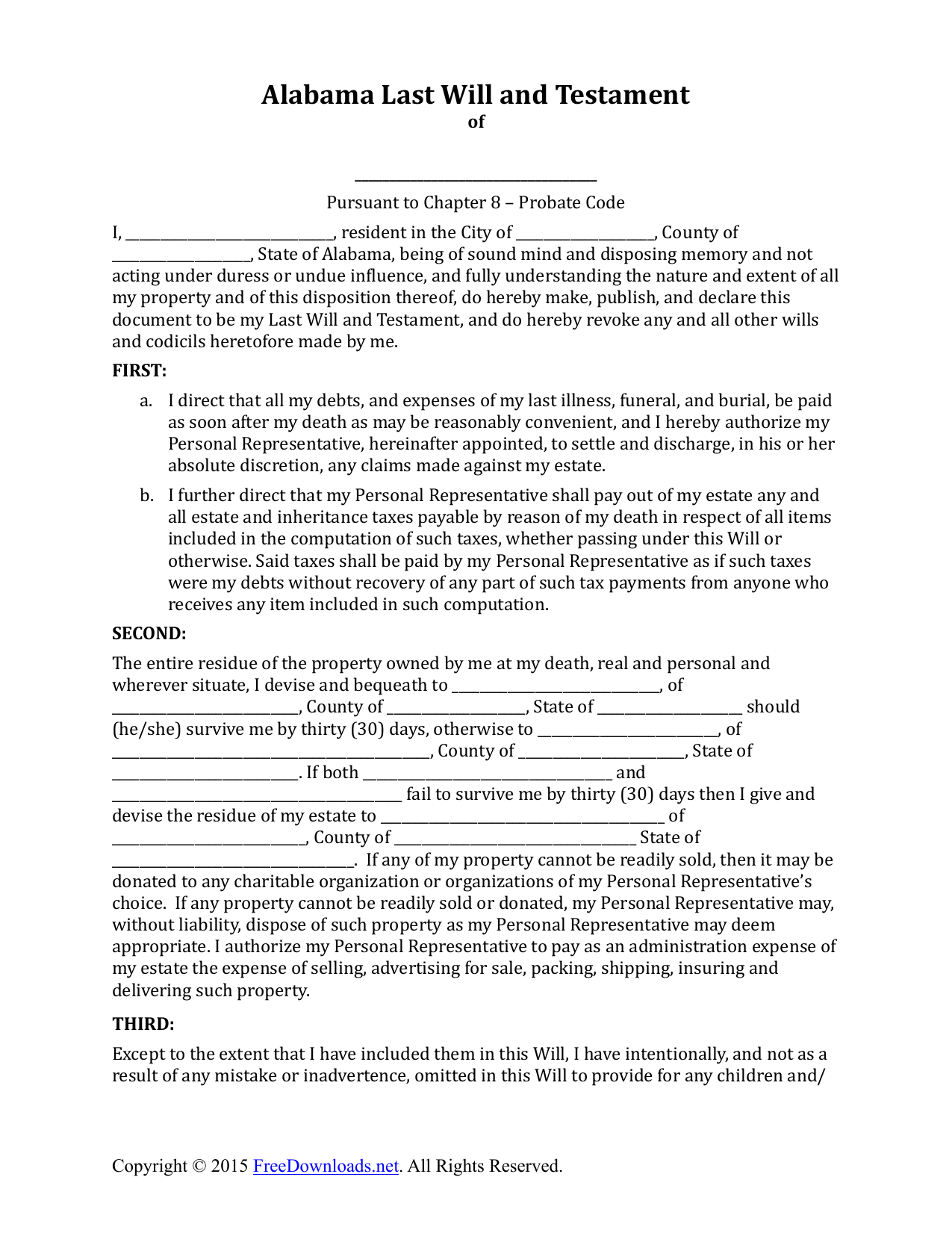
Alabama Blank Printable Last Will And Testament Forms Printable Forms Alabama Blank Printable Last Will And Testament Forms Printable Forms

Printable Last Will And Testament Forms Ontario Printable Forms Free Printable Last Will And Testament Forms Ontario Printable Forms Free